728x90

Diagonalization :: 대각화
n*n mattix A가 eigenvalues λ₁, λ₂, …, λₙ 을 가지고 있고, 서로 독립된 eigenvector x₁, x₂, …, xₙ 을 가지고 있다고 가정하자. ((λᵢ, xᵢ)는 eigenpair)
S = [x₁ x₂ … xₙ], Λ = diag(λ₁, λ₂, …, λₙ)라 하면 S⁻¹AS = Λ
증명.
AS = A[x₁ x₂ … xₙ]
= [A*x₁ A*x₂ … A*xₙ]
= [λ₁*x₁ λ₂*x₂ … λₙ*xₙ]
= SΛ
Difference Equation :: 등차 방정식
일반적으로 uₖ₊₁ = A*uₖ는 다음의 단계로 풀 수 있다.
- A의 독립 eigenvector로 이루어진 matrix S를 찾는다.
- C = S⁻¹*u₀을 만족하는 C를 찾는다.
- uₖ = c₁*λ₁ᵏ*x₁ + … + cₙ*λₙᵏ*xₙ으로 나타낸다
- Aᵏ = S*Λᵏ*S⁻¹
- uₖ = S*Λᵏ*S⁻¹*u₀
- uₖ = S*Λᵏ*C
- uₖ = Λᵏ*u₀
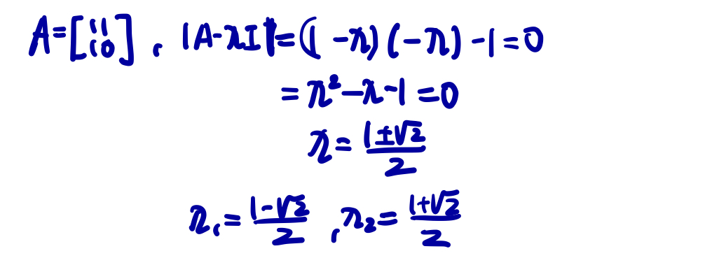
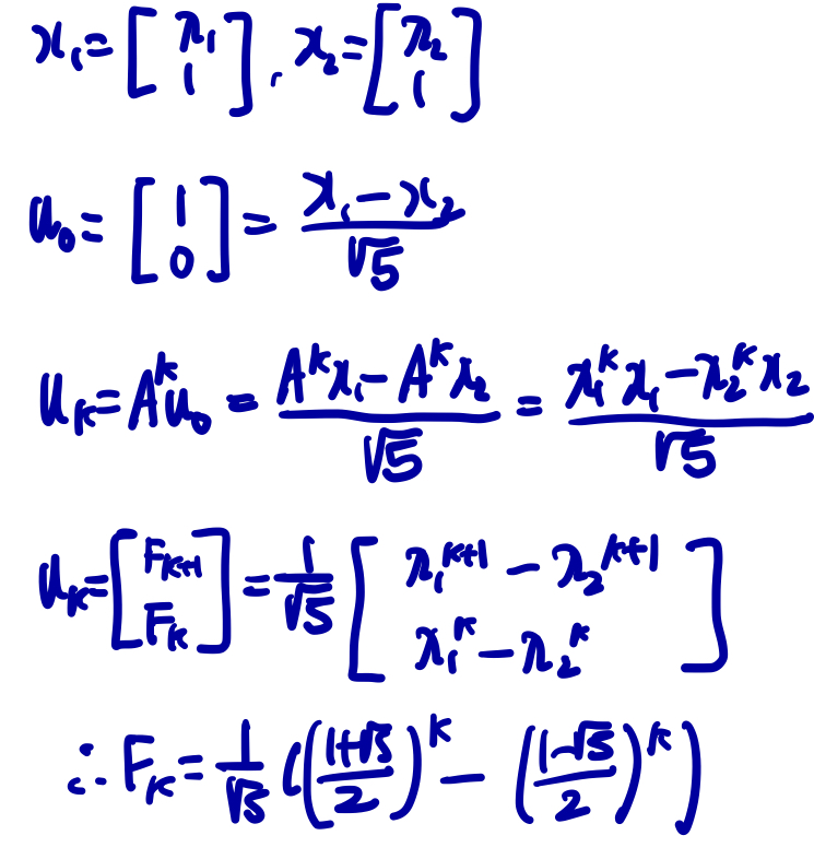
EX. 피보나치 수열
- 피보나치 행렬 u에 대해 정의

- 행렬 A에 대해 정의

- A의 eigenvalue 구하기

- 위의 구한 것들을 토대로 피보나치수열 정의

위의 정의는 diagonalization을 쓰지 않았지만 diagonalization을 쓰고도 정의가 가능함
반응형
'수학 > 선형대수학' 카테고리의 다른 글
| Positive Definite Matrices (0) | 2023.01.19 |
|---|---|
| Symmetric Matrices (0) | 2023.01.17 |
| Diagonalization.1 (0) | 2023.01.10 |
| Eigenvalue & Eigenvectors (0) | 2023.01.05 |
| Cramer's rule (0) | 2023.01.03 |