
Positive Definite Matrices :: 양의 정부호 행렬
eigenvalue의 부호는 매우 중요하다. 따라서 Positive(Negative) Definite로 eigenvalue 부호 파악할 수 있다.
정의
Positive Definite Matrices
n*n square matrix A에 대해 모든 nonzero vector x에 대해 x’Ax > 0를 성립한다면 A는 Positive Definite이다.
Negative Definite Matrices
n*n square matrix A에 대해 모든 nonzero vector x에 대해 x’Ax < 0를 성립한다면 A는 Negative Definite이다.
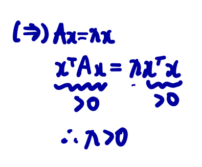
EX.

Symmetric positive Definite Matrices :: 대칭 양의 정부호 행렬
symmetric matrix A는 positive definite이다. ↔ A의 eigenvalues는 모두 positive이다.
증명


따라서, ‘symmetric matrix A는 positive definite이다.’와 ‘A의 eigenvalues는 모두 positive이다.’는 필요충분조건이다.
조건
symmetric matrix A(a11 = a, a12 = b, a21 = b, a22 = c) is PD(Positive Definite) ↔ a>0 and ac-bb > 0
증명

(←) a>0, ac-bb>0중 하나라도 만족하지 않으면 위의 증명 때문에 A가 PD가 될 수 없다. 따라서, a>0, ac-bb>0이면 대칭 행렬 A가 PD이다.
따라서, ‘대칭 행렬 A가 PD이다’와 ‘a>0, ac-bb>0’은 필요충분조건이다.
동치조건
square symmetric matrx A에 대해 다음 조건중 하나라도 만족한다면 아래의 모든 조건이 만족한다.
- 모든 n개의 pivot이 양수이다.
- 모든 upper left determinants(leading principal minors)가 양수이다.(PD 조건 : a>0, ac - bb>0)
- 모든 n eigenvalues가 양수이다.
- 모든 nonzero vector x에 대해 x’Ax > 0가 양수이다.
- A = R’R for matrix R with independent columns

Similarity
Λ = S⁻¹AS
A와 Λ는 동일한 eigenvalues를 가지고 있다.
이를 발전시켜 생각한다면
A = MBM⁻¹인 invertible M이 있을 때 A와 B는 similarity 하다고 말할 수 있다.
A와 B는 동일한 eigenvalues를 가지고 있다.
'수학 > 선형대수학' 카테고리의 다른 글
| Computing Eigenpairs.1 (0) | 2023.01.26 |
|---|---|
| Positive Semidefinite Matrices (0) | 2023.01.24 |
| Symmetric Matrices (0) | 2023.01.17 |
| Diagonaliztion.2 (0) | 2023.01.12 |
| Diagonalization.1 (0) | 2023.01.10 |