728x90

Cramer's rule :: 크라머르 법칙
Ax = b의 해를 구하는 방법
- Elimination을 통해 구하는 방법 : numerical sol (수치적으로)
- Cramer’s rule을 통해 구하는 방법 : closed form sol (바로 정답을 구할 수 있음)
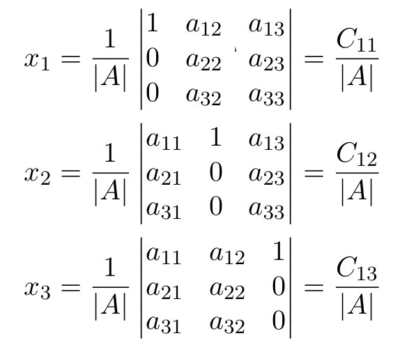
A의 Determinant를 구할 수 있다면 해를 바로 구할 수 있음
계산 방법

위와 같은 방식으로 나머지 x의 원소에 대해서 반복
x2 = |B2|/|A|
x3 = |B3|/|A|
Cramer’ Rule을 통한 역함수 구하기
기본적으로 G-J(Gauss-Jorden) Elimination의 발상을 이용
A에 곱해 I가 되도록 하는 matrix의 column을 x, y, z로 쪼갬
Ax = [1 0 0]’
Ay = [0 1 0]‘
Az = [0 0 1]’
Cramer’ Rule을 이용하면

y,z도 위와 같은 방법을 반복하면 구할 수 있음
따라서, x, y, z 각 원소들을 다시 하나의 matrix로 나타내면

*C : cofator matrix
AC’ = |A|I
A에 C'/|A|를 곱하면 identity matrix가 되므로 C'/|A|는 A의 역행렬임
반응형
'수학 > 선형대수학' 카테고리의 다른 글
| Diagonalization.1 (0) | 2023.01.10 |
|---|---|
| Eigenvalue & Eigenvectors (0) | 2023.01.05 |
| Determinant.2 (1) | 2022.12.29 |
| Determinants.1 (3) | 2022.12.26 |
| Gram-Schmidt Process.2 (3) | 2022.12.22 |