728x90

Gram-Schmidt Process
1. Orthonormal Vectors
2. Orthonormal Matrix
임의의 non-orthonormal matrix로부터 orthonormal vector들을 만드는 과정
Orthonormal Vectors :: 정규직교벡터
자명하지 않은 subspace에는 많은 basis가 있고 그 중 orhogonal한 벡터도 있다.
정의 : q1, q2, …., qn 이 orthonormal하다고 가정하면

Orthonormal Matrix :: 정규직교행렬
Orthonormal Matrix는 Orthonormal Vector들이 모여 만든 matrix Q로 Q’*Q = I를 성립한다.
따라서, Q’ = (Q의 역)이라면 Q는 Orthonormal Matrix이다.
EX.
- Permutation Matrix
- Rotation Matrix
성질 : 길이를 바꾸지 않음.(EX-1)
Projection using Orthonormal Bases
m*n matrix A 의 projection matrix : A((A’A)의 역)A’
하지만 A’A의 역을 구하기 위한 비용이 너무 큼 → 따라서 Orthonormal Bases를 이용하면 비용을 줄일 수 있음.

m*n orthonormal matrix Q에 대해
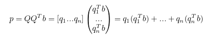
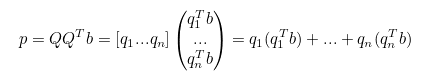
만약 m = !n일 경우 : p = QQ’b
만약 m = n(square matrix)일 경우 : p = QQ’b = Ib = b
반응형
'수학 > 선형대수학' 카테고리의 다른 글
| Eigenvalue & Eigenvectors (0) | 2023.01.05 |
|---|---|
| Cramer's rule (0) | 2023.01.03 |
| Determinant.2 (1) | 2022.12.29 |
| Determinants.1 (3) | 2022.12.26 |
| Gram-Schmidt Process.2 (3) | 2022.12.22 |